• Предмет: Математика
  • Автор: Xrom1356
  • Вопрос задан 8 лет назад

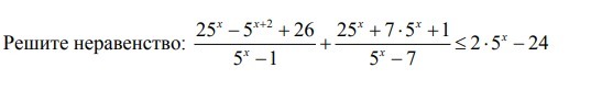
Помогите, пожалуйста, решить уравнение:

Приложения:

Ответы

Ответ дал: ИркаХортица
0

Скорее всего это как-то упрощается, но пока только так получилось....

Приложения:
Вас заинтересует