• Предмет: Алгебра
  • Автор: Elinka0202
  • Вопрос задан 8 лет назад

Решите пожалуйста интегралы

Приложения:

Ответы

Ответ дал: ShirokovP
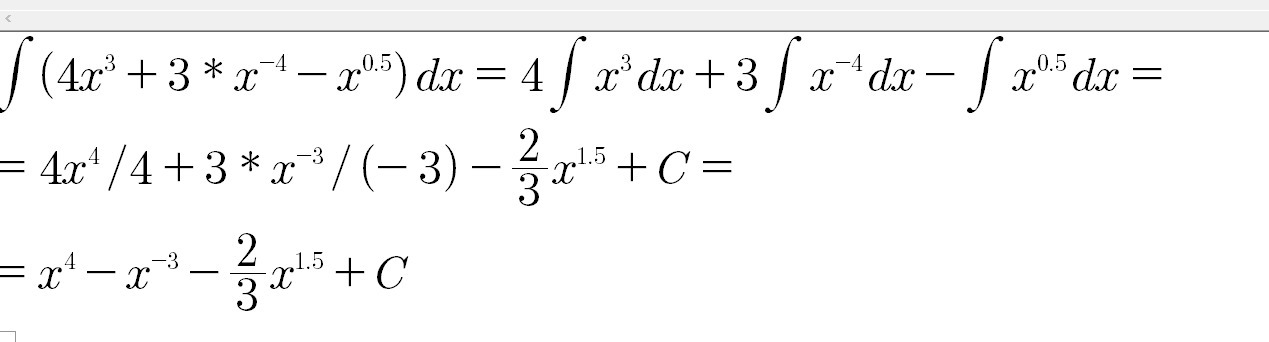
0

см скрин

===============================================

Приложения:
Ответ дал: NNNLLL54
0

int (2x^3+frac{3}{x^4}-sqrt{x}), dx=2cdot frac{x^4}{4}+3cdot frac{x^{-3}}{-3}-frac{x^{3/2}}{3/2}+C=\\=frac{x^4}{2} -frac{1}{x^3}-frac{2sqrt{x^3}}{3}+C

Приложения:
Ответ дал: ShirokovP
0
там 4 x^3
Вас заинтересует