• Предмет: Алгебра
  • Автор: 2F2F
  • Вопрос задан 8 лет назад

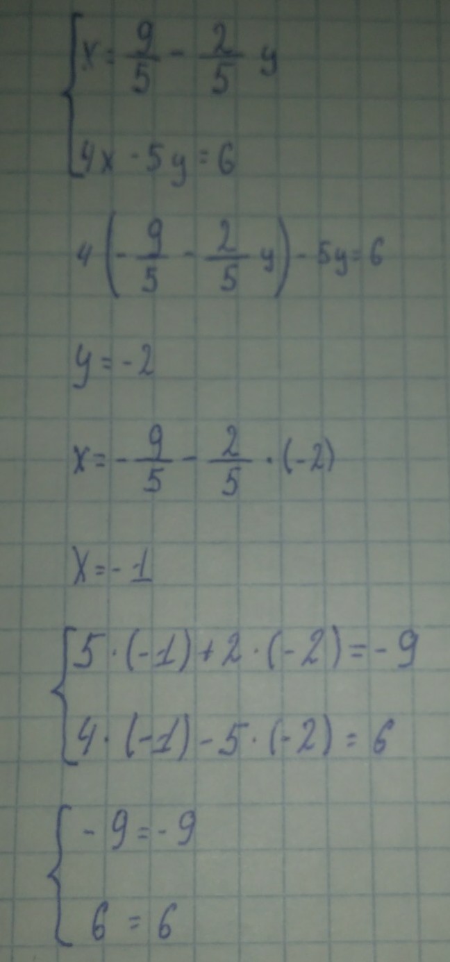
Ребята помогите решить пожалуйста!!!!!
ОЧЕНЬ СРОЧТО
ЖЕЛАТЕЛЬНО РЕШЕНИЕ БЫЛО В ФОРМАТЕ ФОТО ))))
Пожалуйста

Приложения:

Ответы

Ответ дал: Angel5525AN
0
Вот, кажется так.....
Приложения:
Вас заинтересует