• Предмет: Алгебра
  • Автор: viktoriya365
  • Вопрос задан 8 лет назад

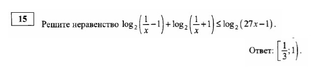
Помогите пожалуйста,задание 15(ЕГЭ)

Приложения:

Ответы

Ответ дал: Dushzhanov987
0

log_2(frac{1}{x}-1)+log_2(frac{1}{x}+1)leq log_2(27x-1)\ left{begin{array}{ccc}x<1\x>-1\ x>frac{1}{27} \end{array}Leftrightarrow displaystyle left { {{x>frac{1}{27}} atop {x<1}} right. Leftrightarrow xin(frac{1}{27};1)

(frac{1}{x}-1)(frac{1}{x}+1)-27x+1leq 0\\frac{1}{x^2}-27xleq 0\\frac{1-27x^3}{x^2} leq 0frac{27x^3-1}{x^2}geq 0

frac{(3x)^3-1}{x^2}geq 0\\frac{(3x-1)(9x^2+3x+1)}{x^2} geq 0\\ frac{3x-1}{x^2} geq 0

учитывая одз: sf frac{1}{27}<x<1, получим

sf frac{1}{3}leq x<1 Leftrightarrow xin [frac{1}{3};1)

Ответ: [frac{1}{3};1)


Ответ дал: maksimcat
0
Одз Неверно нашли
Ответ дал: Артур998
0
№237 . Помогите с алгеброй 50 баллов.https://znanija.com/task/31264120
Ответ дал: maksimcat
0

Ответ на фото/////////////

Приложения:
Ответ дал: Артур998
0
№237 . Помогите с алгеброй 50 баллов.https://znanija.com/task/31264120
Ответ дал: Артур998
0
пожалуйста
Вас заинтересует