• Предмет: Алгебра
  • Автор: sadasdsss
  • Вопрос задан 8 лет назад

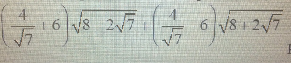
РЕБЯТА ПОМОГИТЕ С КОРНЯМИ
НА ФОТО

Приложения:

Ответы

Ответ дал: michindjeva
0
подробное решение смотри на фото
Приложения:
Ответ дал: sadasdsss
0
спасибо солнышко
Ответ дал: michindjeva
0
Пожалуйста
Ответ дал: sadasdsss
0
только я не понял как у тебя получилось когда было
Корень из 33 + 8корней из 2 у тебя получилось 4корняиз2+1
Ответ дал: michindjeva
0
(4√2 + 1)^2= (4√2)^2+2×4√2×1+1=32+4√2+1=33+4√2
Ответ дал: michindjeva
0
33 +8√2 в конце ошиблась
Вас заинтересует