• Предмет: Алгебра
  • Автор: gakkd
  • Вопрос задан 8 лет назад

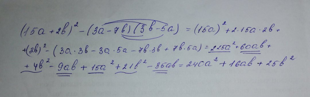
Упростите выражение : (15а+2b)^2-(3а-7b)(3b-5а)

Ответы

Ответ дал: Юленька194
0

решение на фото...........

Приложения:
Ответ дал: ШереметИрина
0

на фото.................

Приложения:
Вас заинтересует