Ответы
Ответ дал:
0
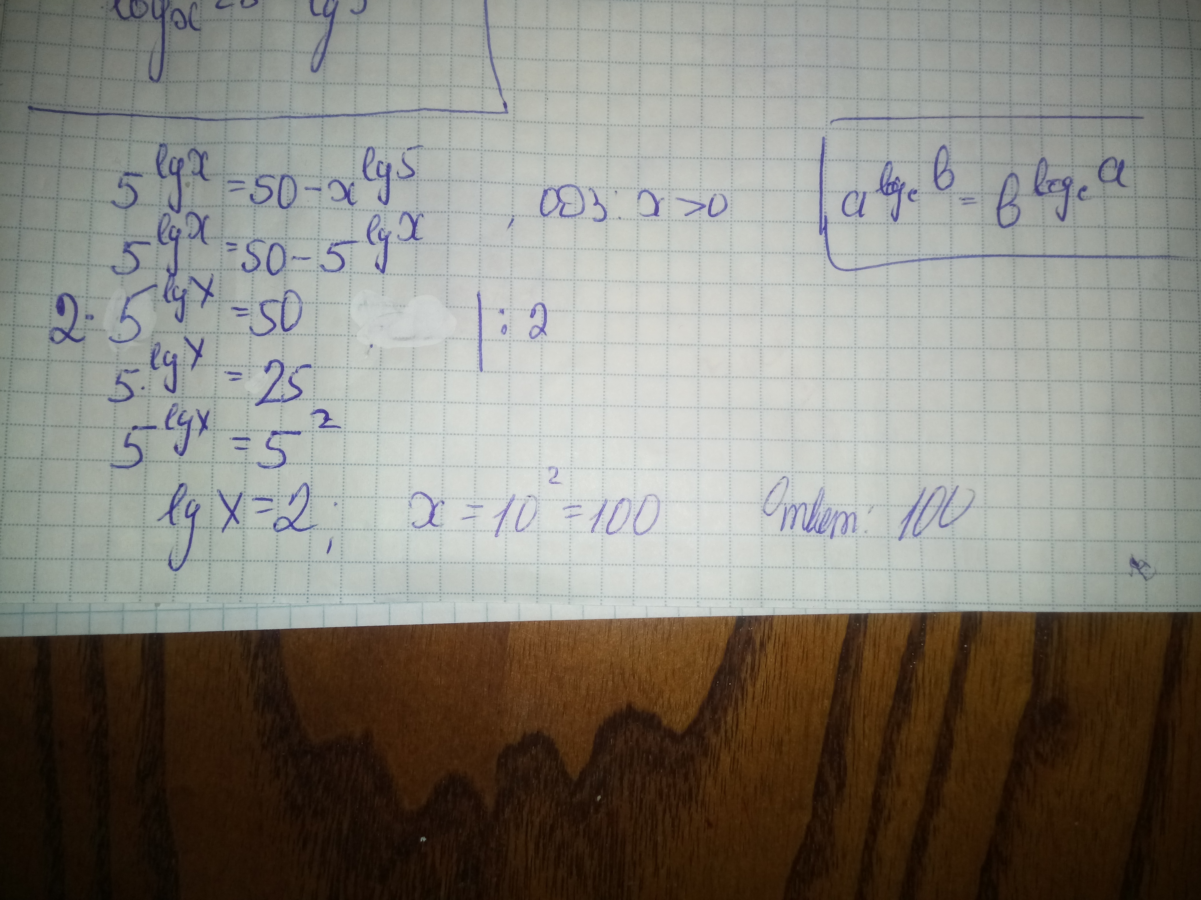
Решение уравнения. Ответ 100.
Приложения:
Ответ дал:
0
вот я и не написал {{{{{{
желательно отвечать на то что хотят !!!
а если хотят непонятно что, то отмечайте как неправильное.
а не отвечайте на то о чем можно лишь догадываться
учите людей правильно задавать вопросы
спасибо
желательно отвечать на то что хотят !!!
а если хотят непонятно что, то отмечайте как неправильное.
а не отвечайте на то о чем можно лишь догадываться
учите людей правильно задавать вопросы
спасибо
Ответ дал:
0
Вот почему я не хочу идти в команду модераторов. Что нужно, я написала в комментарии под вопросом.
Ответ дал:
0
Удаляйте, какой-то математик напишет свое решение, здесь таких куча.
Ответ дал:
0
зачем ?
Ответ дал:
0
это решить уравнение
сравнить выражение это кроме равенства, есть значения больше и меньше одного выражения другому при определенных переменных
сравнить выражение это кроме равенства, есть значения больше и меньше одного выражения другому при определенных переменных
Вас заинтересует
2 года назад
2 года назад
3 года назад
3 года назад
9 лет назад
9 лет назад