Ответы
Ответ дал:
0
Ответ: - 2/9
пошаговое объяснение:
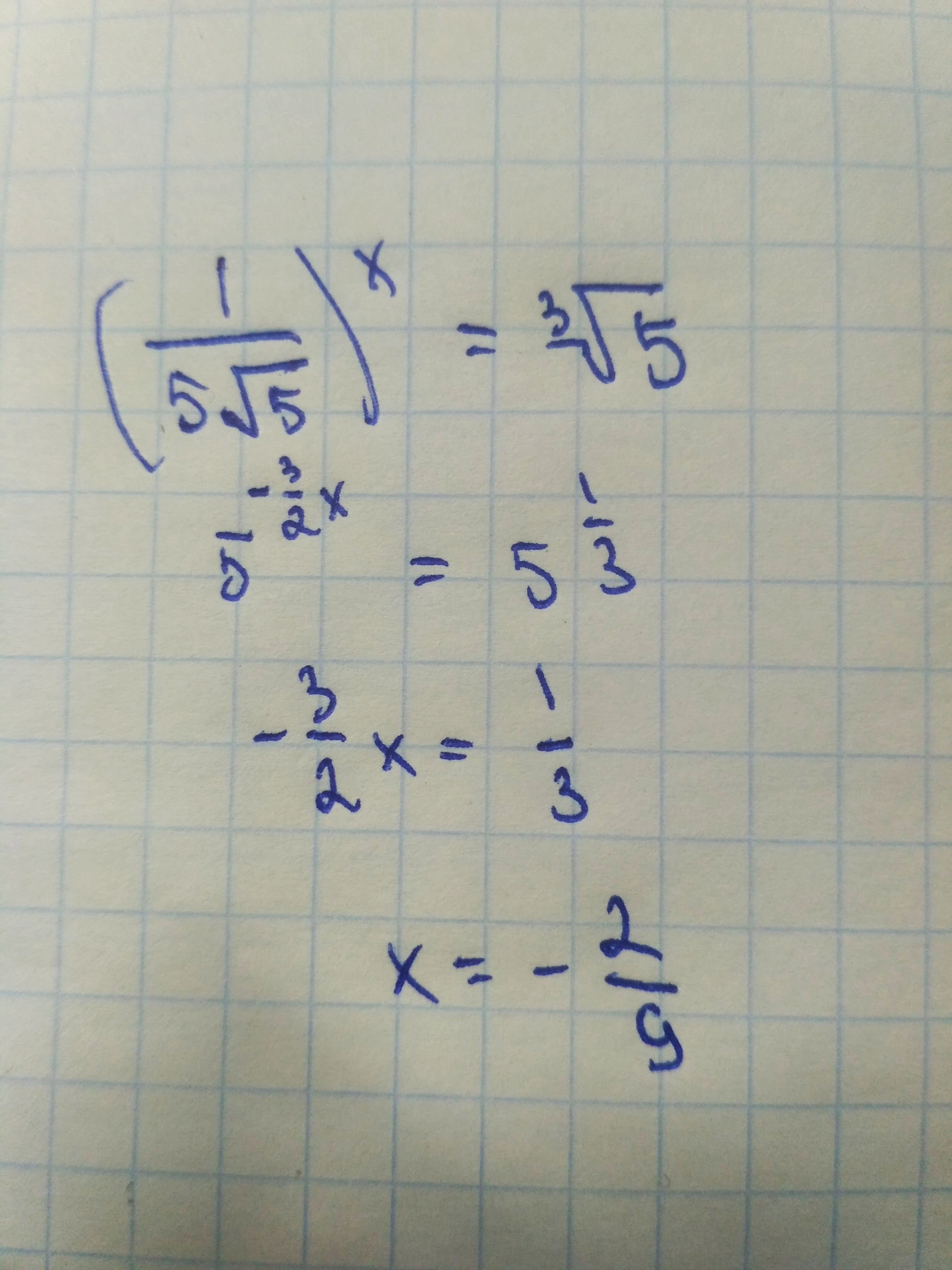
Запишите степень с основанием 5
Запишите выражение в виде степени с основанием 5
Поскольку основания одинаковы,нужно приравнять показатели
Умножить обе части уравнения на -2/3
Готово
Ответ дал:
0
Ответ: -2/9
Пошаговое объяснение: ниже
Приложения:

Вас заинтересует
2 года назад
2 года назад
3 года назад
9 лет назад
9 лет назад
9 лет назад