Ответы
Ответ дал:
0
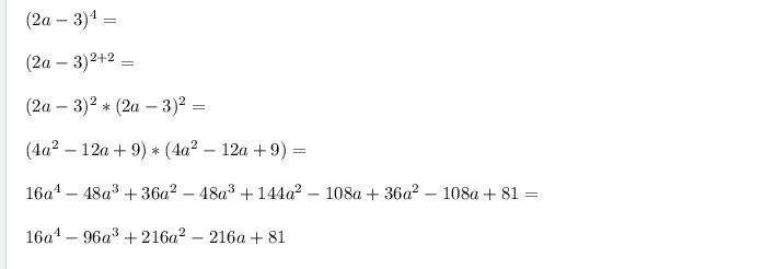
Решение во вложении::::
Приложения:

Ответ дал:
0
это не по этой формуле.
Ответ дал:
0
+++
Ответ дал:
0
это из программы photomath
Вас заинтересует
2 года назад
2 года назад
3 года назад
3 года назад
8 лет назад
8 лет назад