• Предмет: Алгебра
  • Автор: СлаваSLOVO
  • Вопрос задан 8 лет назад

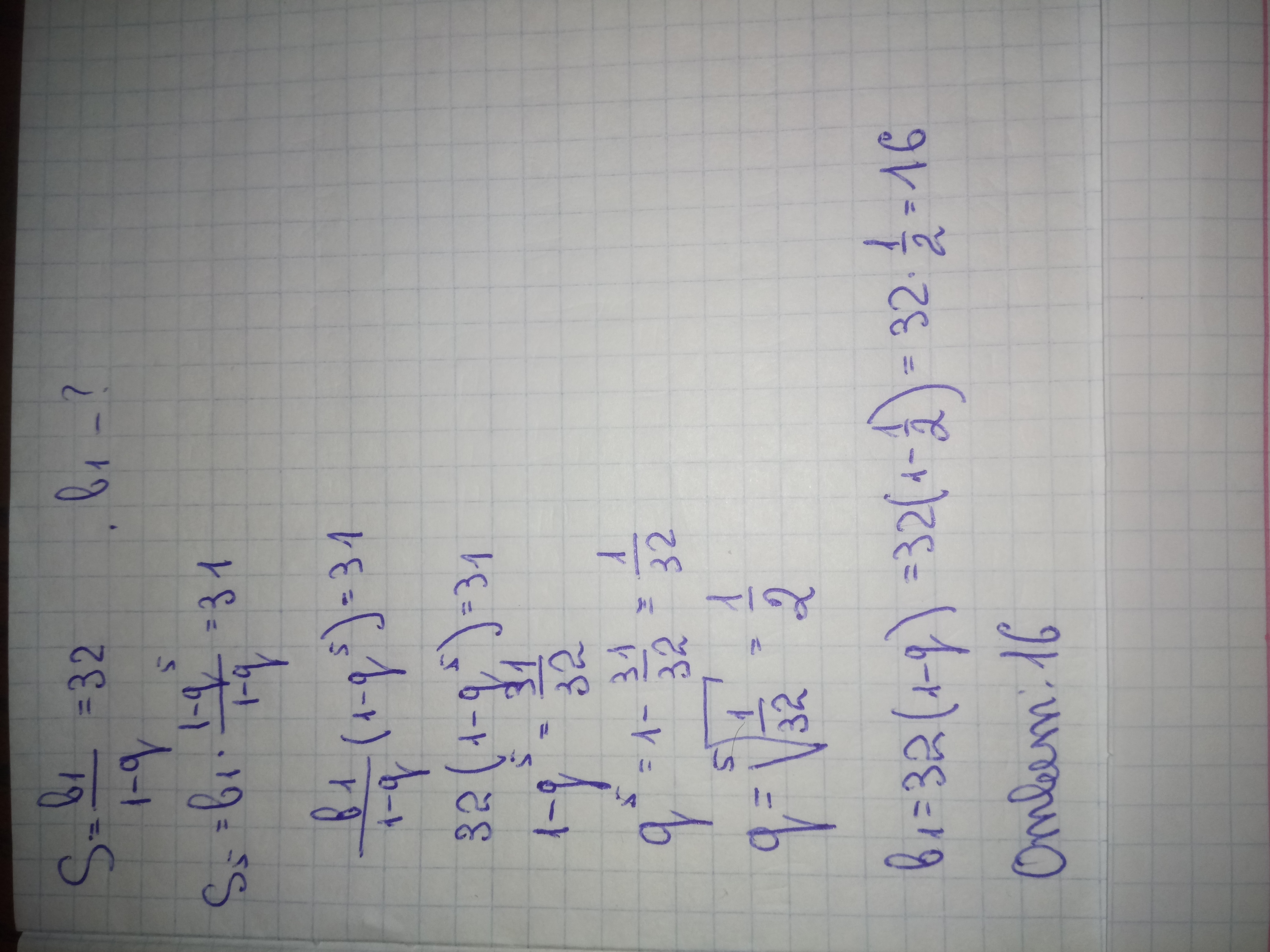
1)Сумма бесконечно убывающей геометрической прогрессии равна 32, а сумма ее первых пяти членов -31. Найдите первый член прогрессии.


Ответы

Ответ дал: valenivan
0

Решение задания приложено. Но там перед 31 "минуса" нет. В противном случае q>1, a это противоречит условию, что прогрессия бесконечно убывающая.

Приложения:
Ответ дал: Артур998
0
https://znanija.com/task/31250300, помогите с алгеброй пожалуйста
Вас заинтересует