• Предмет: Математика
  • Автор: sultanova23
  • Вопрос задан 8 лет назад

Помагите с номером 742 мне нужно срочно

Приложения:

Ответы

Ответ дал: Дейлионна
0
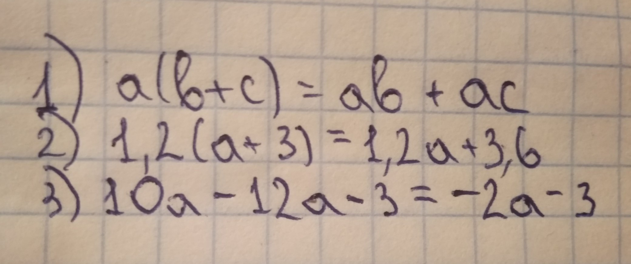
Ответ смотри на фото
Приложения:
Вас заинтересует