Ответы
Ответ дал:
0
надеюсь поймешь что написано
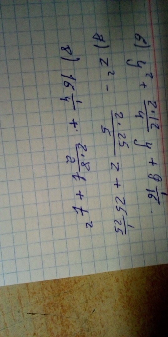
а так, это же формула
(а+в)^2 или же (a-b)^2
1. a^2 + 2ab +b^2
2.a^2- 2ab + b^2
Приложения:


Ответ дал:
0
спосибо большое
Ответ дал:
0
спосибо большое вам
Вас заинтересует
2 года назад
2 года назад
3 года назад
3 года назад
8 лет назад
8 лет назад
9 лет назад