Ответы
Ответ дал:
0
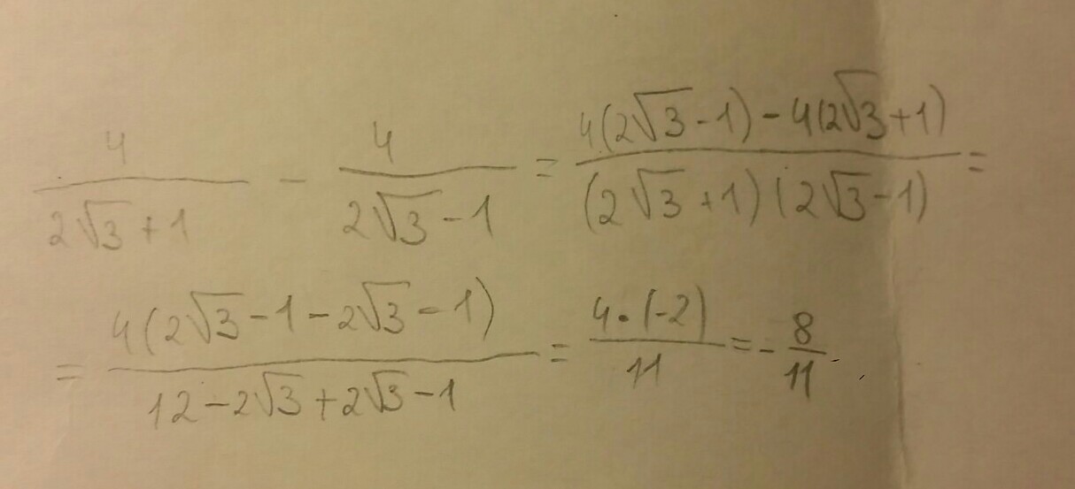
в итоге получается -8/11
Приложения:

Ответ дал:
0
спасибо, выручил!
Ответ дал:
0
Решение задания приложено
Приложения:

Ответ дал:
0
спасибо большое
Ответ дал:
0
пожалуйста
Ответ дал:
0
Помогите пожалуйста по алгебре
Ответ дал:
0
https://znanija.com/task/31271555
Вас заинтересует
2 года назад
2 года назад
3 года назад
3 года назад
9 лет назад
9 лет назад