• Предмет: Алгебра
  • Автор: bd11
  • Вопрос задан 8 лет назад

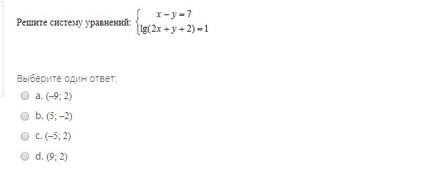
Решите систему уравнений

Приложения:

Ответы

Ответ дал: evgeniiasem
0

В первое уравнение подходят только пункты Б и Д. Подставляем их во второе уравнение, подходит только пункт Б.

Ответ: Б

Вас заинтересует