Известно, что в начальный момент время скорость автомобиля была равна 31 м/с. После разгона его скорость была равна 42,5 м/с. Так же известно, что время разгона равно 23 сек, а масса автомобиля составляет 2100 кг. Вопрос: какова была механическая работа время разгона? Чему была равна мощность?
Ответы
Ответ дал:
0
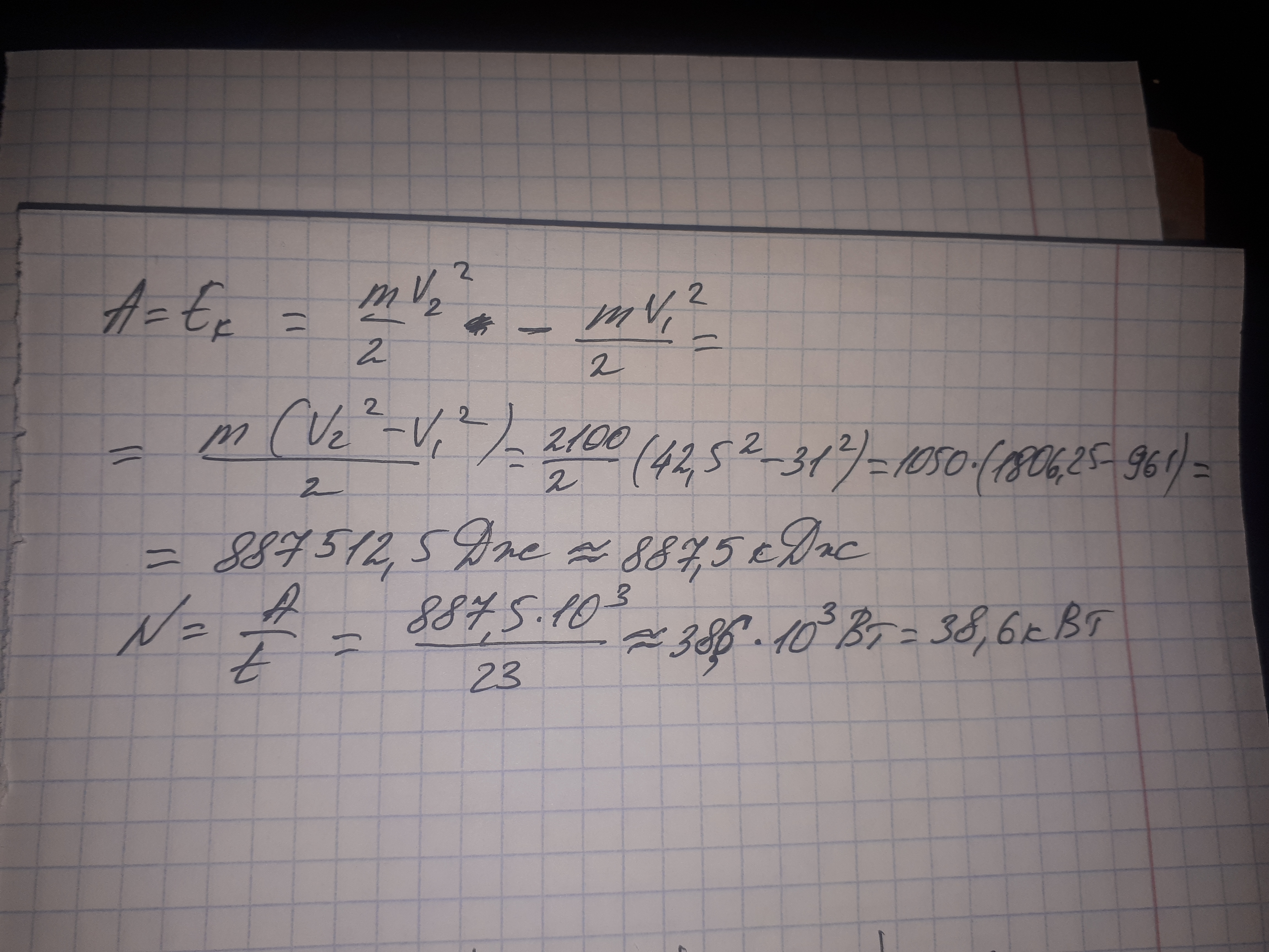
Смотрите рисунок ниже......
Приложения:

Вас заинтересует
2 года назад
3 года назад
3 года назад
9 лет назад
9 лет назад
9 лет назад