• Предмет: Математика
  • Автор: ilikerussia
  • Вопрос задан 8 лет назад

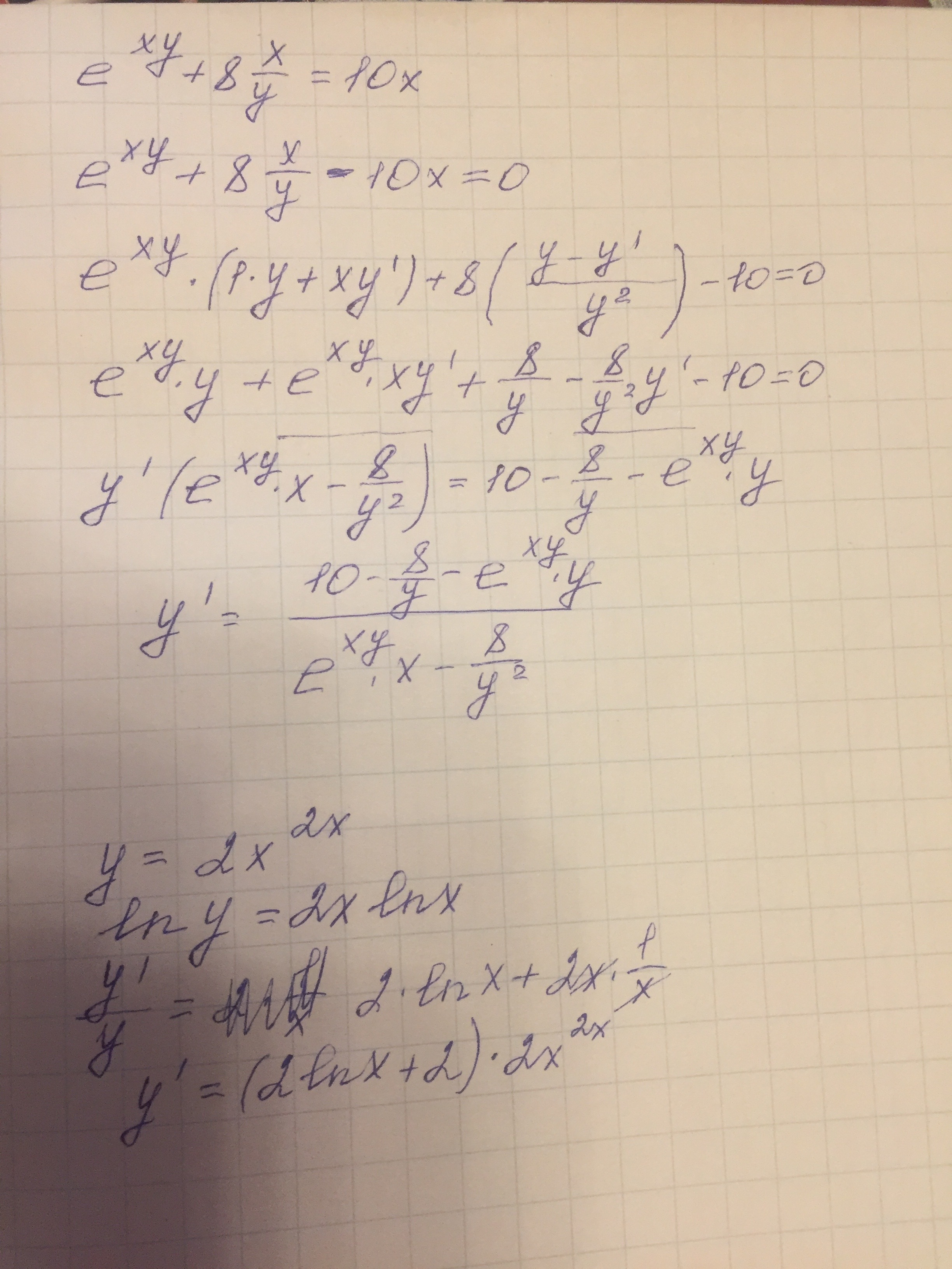
С подробным решением, пожалуйста! Найти производную:
1) (e^xy)+8x/y=10x
2) y=(2x)^2x

Ответы

Ответ дал: natalyabryukhova
0

Ответ:


Пошаговое объяснение:


Приложения:
Вас заинтересует