• Предмет: Математика
  • Автор: artemmaksimov06
  • Вопрос задан 8 лет назад

с объяснением пж даю 15 баллов

Приложения:

Ответы

Ответ дал: alesyaperova
0

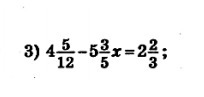
5 frac{3}{5} x = 4 frac{5}{12} - 2 frac{2}{3}  = 4 frac{5}{12}  - 2 frac{8}{12}  \  = 3 frac{17}{12}  - 2 frac{8}{12}  = 1 frac{9}{12}  = 1 frac{3}{4}
x = 1 frac{3}{4}  div 5 frac{3}{5}  =  frac{7}{3}  div  frac{28}{5}  =  \  frac{7}{3}  times  frac{5}{28}  =  frac{5}{12}
Вас заинтересует