Ответы
Ответ дал:
0
Розв'язання завдацння додаю
Приложения:

Ответ дал:
0
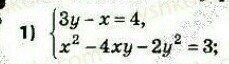
Решим уравнение -5y²-8y+13 = 0
5y²+8y-13 = 0
D = 64 + 4 * 5 * 13 = 64 + 260 = 324
y₁ = (-8+18)/10 = 1 ⇒ x₁ = 3*1-4 = -1
y₂ = (-8-18)/10 = -2.6 ⇒ x₂ = 3*(-2.6) - 4 = -7.8 - 4 = -11.8
Ответ: (-1, 1) и (-11.8, -2.6)
Приложения:

Вас заинтересует
2 года назад
2 года назад
3 года назад
8 лет назад
8 лет назад