Ответы
Ответ дал:
0
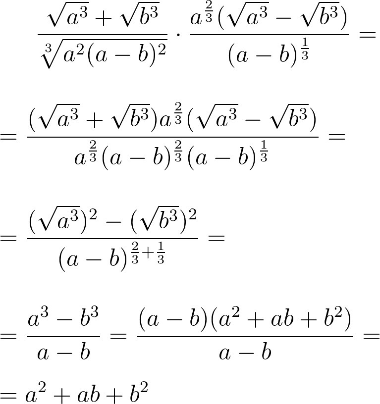
Решение во вложении.
Приложения:

Ответ дал:
0
Добрый день, это случайно сделано не через математический редактор Equation Editor?
Вас заинтересует
2 года назад
2 года назад
3 года назад
9 лет назад
9 лет назад
9 лет назад