• Предмет: Алгебра
  • Автор: lankina2018
  • Вопрос задан 8 лет назад

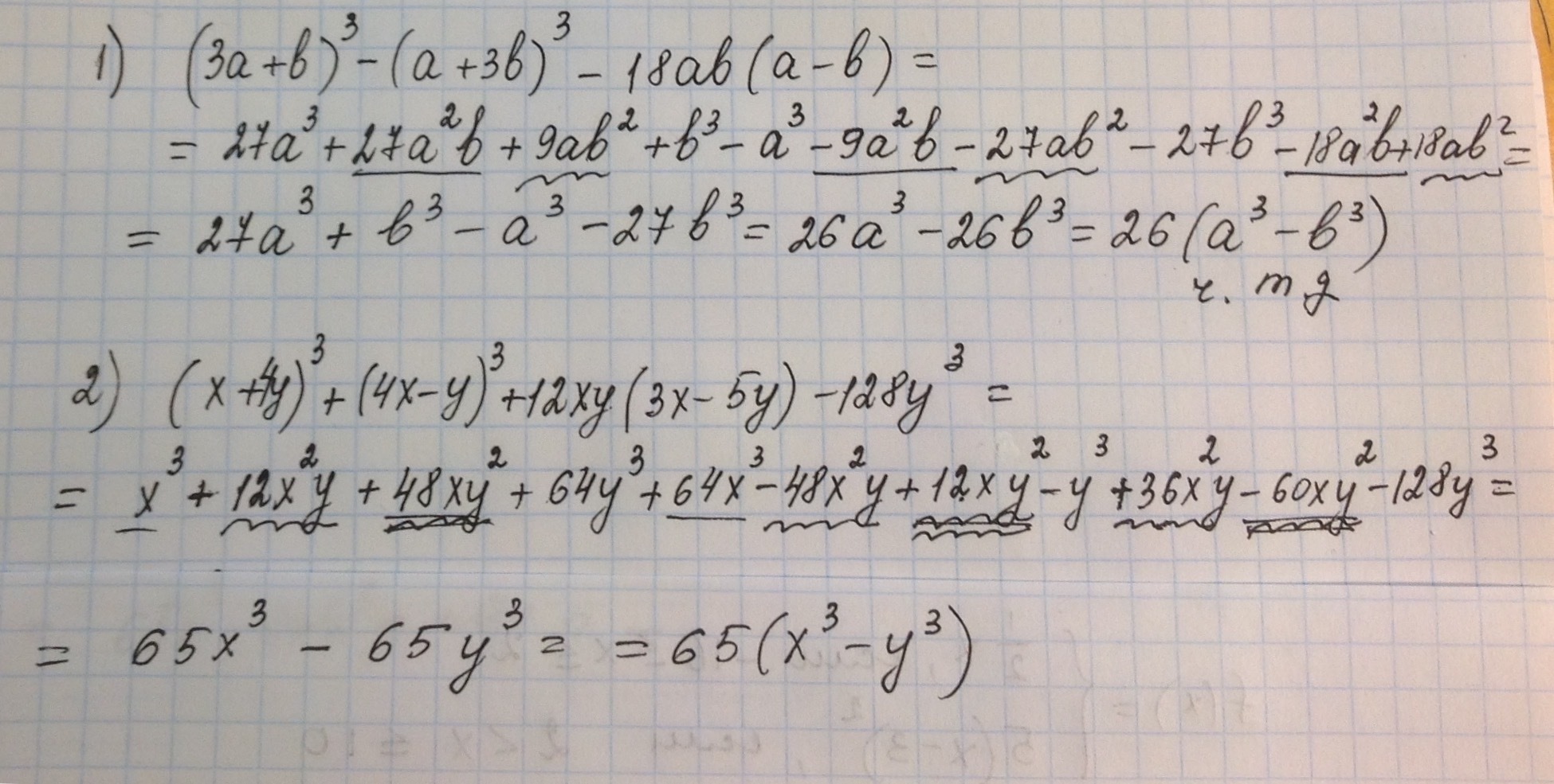
докажите тождество 7 класс формула сокращенного умножения

1 ) (3а +б)^3-( а + 3б )^3-18ab(a-b)=26(a^3-b^3)

2) (x+4y)^3+(4x-y)^3+12xy(3x-5y)-128y^3=65(x^3-y^3)


помогите срочно даю 40б

Ответы

Ответ дал: maksimcat
0

Ответ на фото//////////////////////

Приложения:
Ответ дал: lankina2018
0
Спасибо выручили
Вас заинтересует