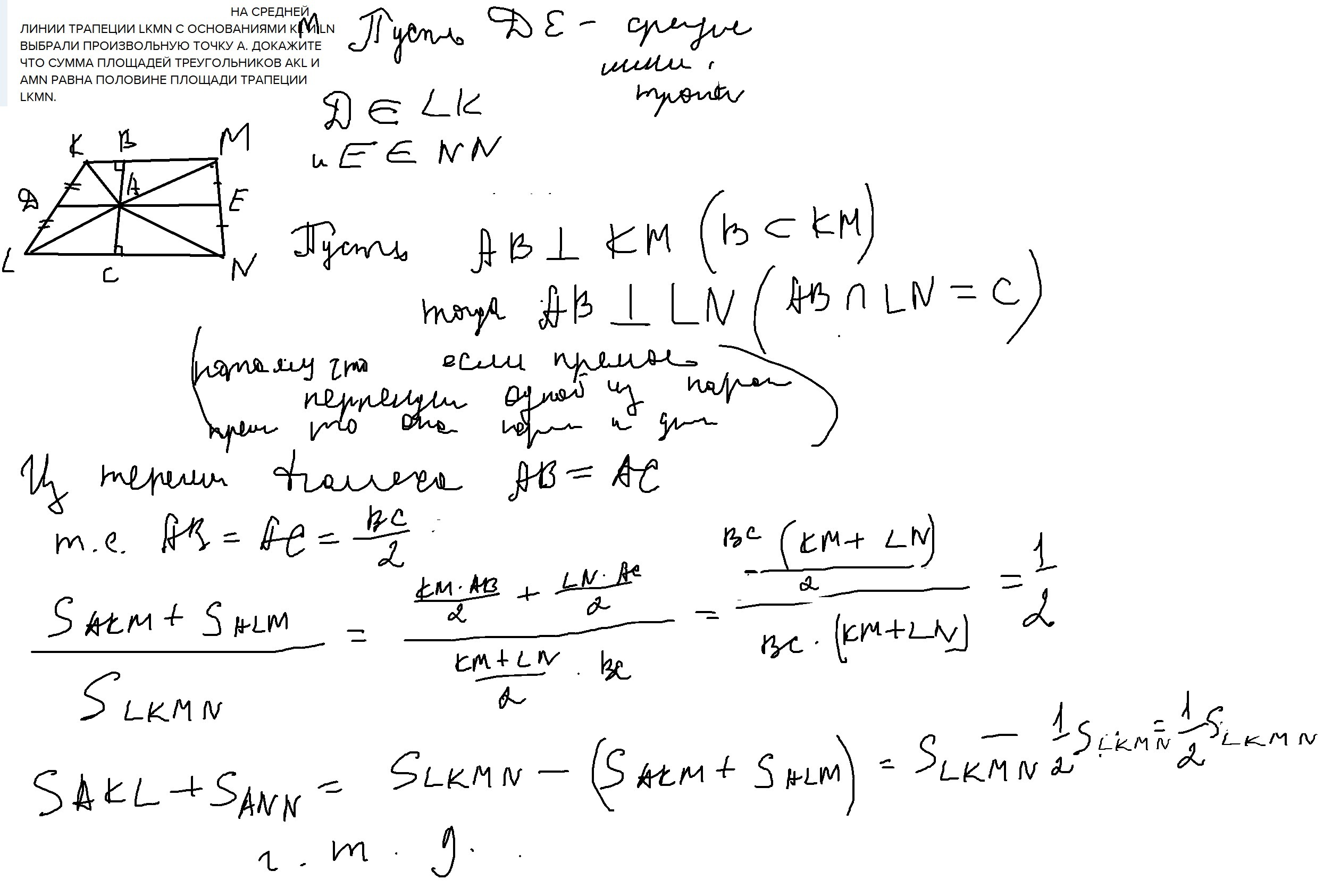
ПОМОГИТЕ! ДАЮ 30 БАЛЛОВ! №2 НА СРЕДНЕЙ ЛИНИИ ТРАПЕЦИИ LKMN С ОСНОВАНИЯМИ KL И LN ВЫБРАЛИ ПРОИЗВОЛЬНУЮ ТОЧКУ А. ДОКАЖИТЕ ЧТО СУММА ПЛОЩАДЕЙ ТРЕУГОЛЬНИКОВ АКL И AMN РАВНА ПОЛОВИНЕ ПЛОЩАДИ ТРАПЕЦИИ LKMN.
Ответы
Ответ дал:
0
НА СРЕДНЕЙ ЛИНИИ ТРАПЕЦИИ LKMN С ОСНОВАНИЯМИ KL И LN
Приложения:

Ответ дал:
0
СПАСИБО
Вас заинтересует
2 года назад
3 года назад
3 года назад
8 лет назад
9 лет назад
9 лет назад