• Предмет: Алгебра
  • Автор: vikatiurikova
  • Вопрос задан 8 лет назад

Решите пожалуйста,срочно!!!!!!!!!

Приложения:

Ответы

Ответ дал: Юленька194
0

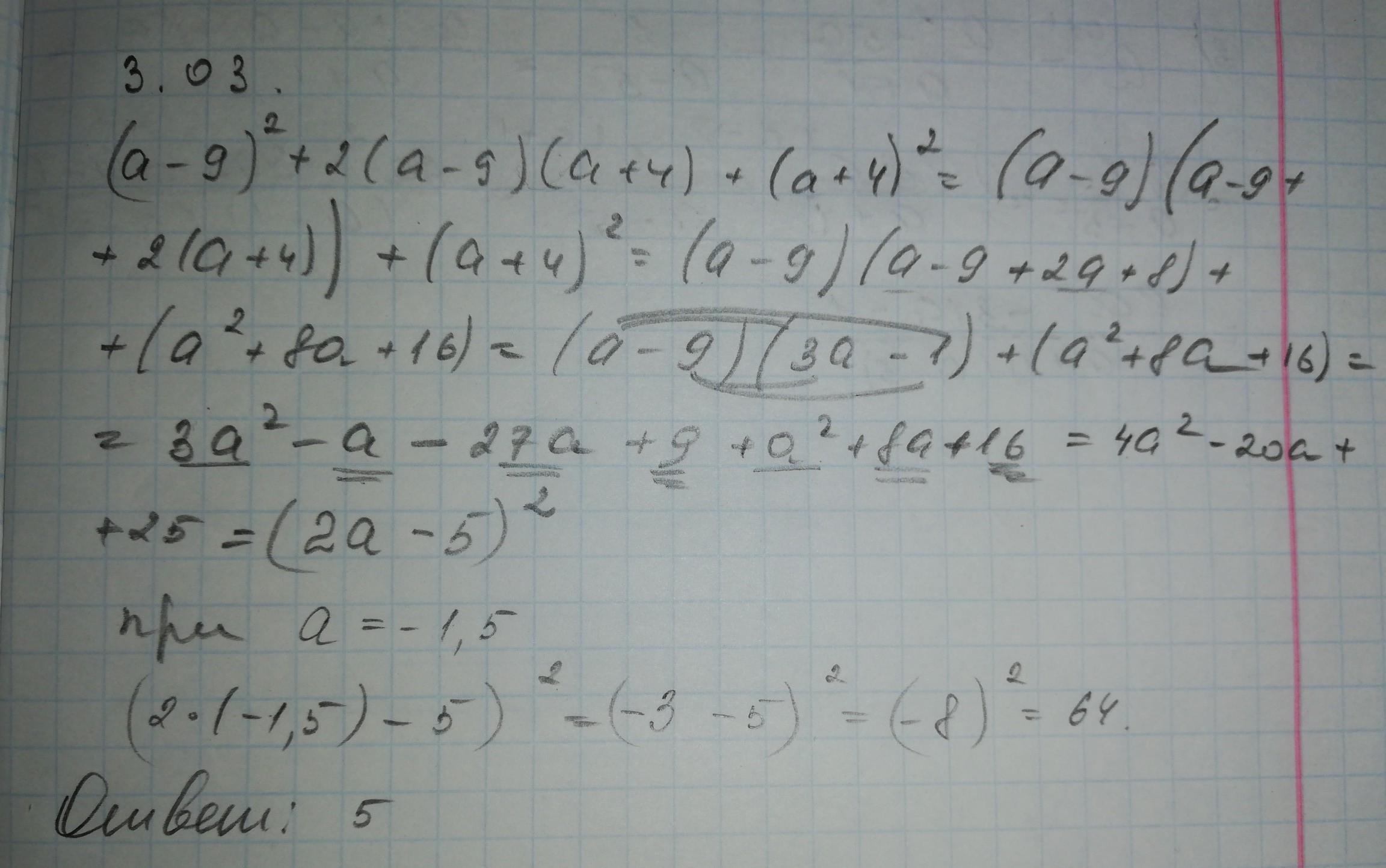
Смотрите решение на фото

Приложения:
Вас заинтересует