Ответы
Ответ дал:
0
Ответ:
Если я правильно поняла задания то вот ответы:
1)52/3 или 17 1/3
2)8
3)1
4)6
5)3
Вот и все))
Пошаговое объяснение:
Ответ дал:
0
спс за ответ
Ответ дал:
0
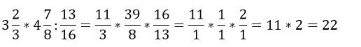
Ответ:
22
Пошаговое объяснение:
см. вложение................
Приложения:

Ответ дал:
0
спс я знал что ты мой подписчик
Вас заинтересует
2 года назад
2 года назад
3 года назад
8 лет назад
9 лет назад