• Предмет: Математика
  • Автор: feruuuuzmastre
  • Вопрос задан 8 лет назад

помогите решения нужно 20 баллов поставил

Приложения:

Ответы

Ответ дал: parus77
0

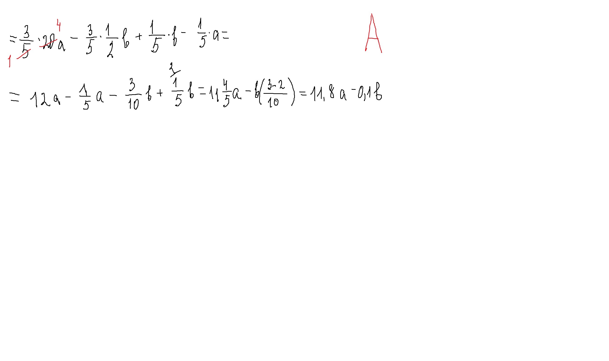
Ответ:А


решение смотри внизу


Приложения:
Ответ дал: feruuuuzmastre
0
спасибо
Ответ дал: parus77
0
пожалуйста
Ответ дал: feruuuuzmastre
0
можеж
Ответ дал: feruuuuzmastre
0
помочь
Ответ дал: feruuuuzmastre
0
ещё
Вас заинтересует