• Предмет: Математика
  • Автор: mmmmmmm1323
  • Вопрос задан 8 лет назад

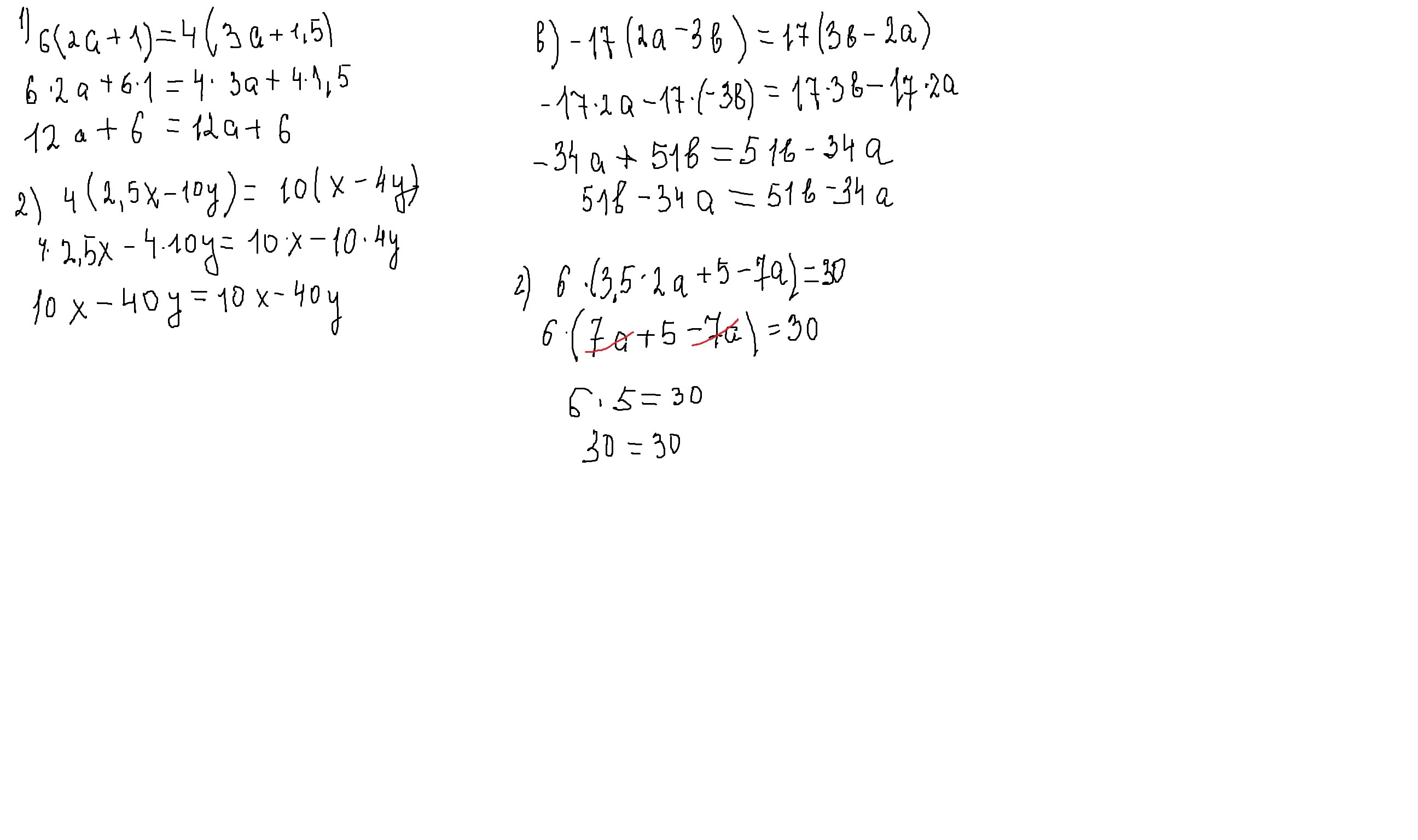
докажите тождество плиззззззз помогите 5

Приложения:

Ответы

Ответ дал: sleem53
0
1)-равно
2)-равно
3)-равно
4)-равно
4 не уверен,но скорей да
Ответ дал: parus77
0

Ответ:

решение смотри внизу.Надо раскрыть скобки и показать,что левая часть равна правой части.



Приложения:
Вас заинтересует