• Предмет: Математика
  • Автор: iMichael
  • Вопрос задан 8 лет назад

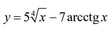
Помогите пожалуйста! Найти производную первого порядка данной функции

Приложения:

Ответы

Ответ дал: армения20171
0
y'=(5*⁴√x)'-7(arcctgx)'=5*1/4*1/x³/⁴+7*1/(1+x²)

=5/(4*x³/⁴)+7/(1+x²)
Вас заинтересует