• Предмет: Химия
  • Автор: jarikgirdvaini6
  • Вопрос задан 8 лет назад

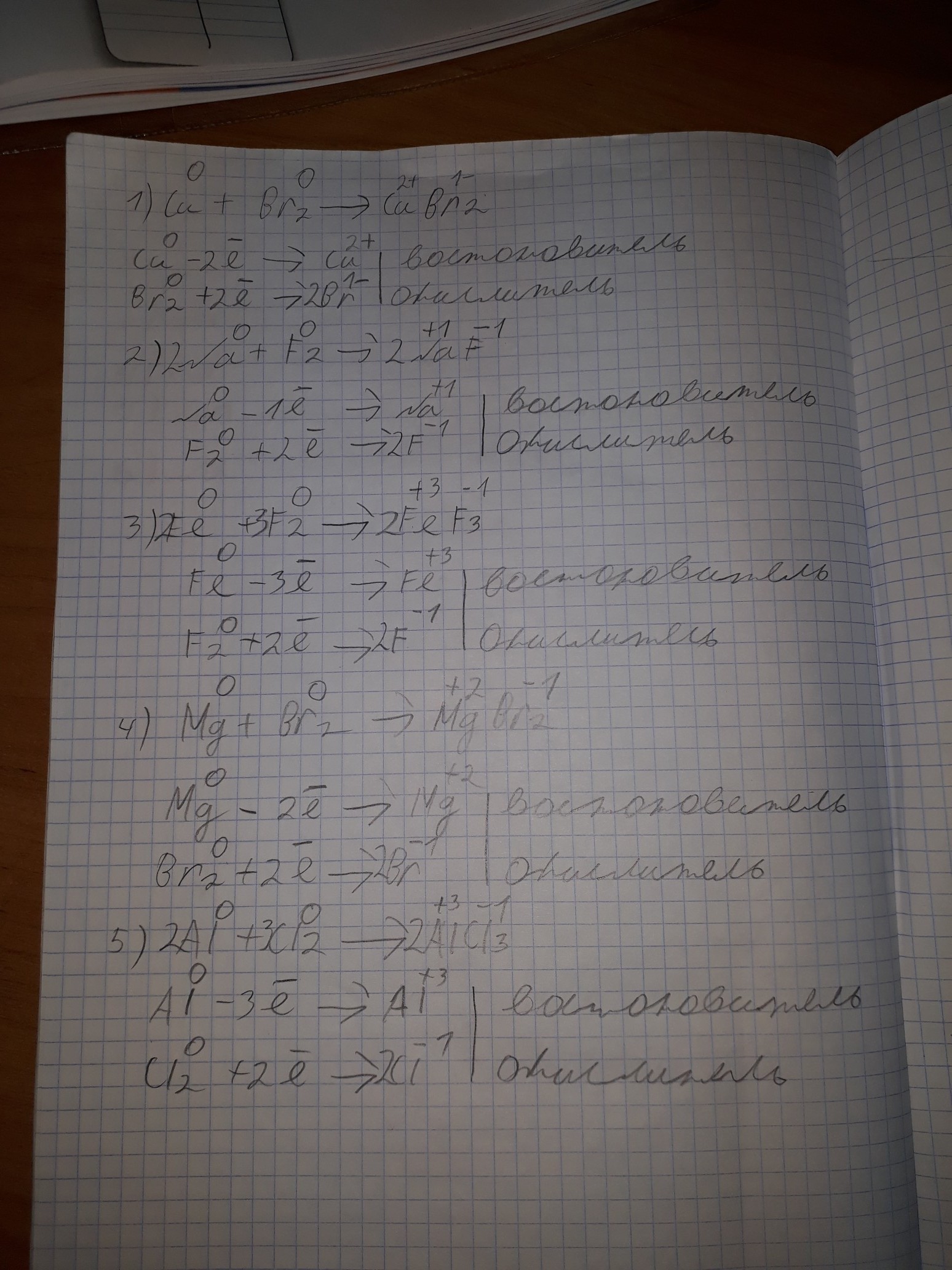
Напишите уравнения окисления-восстановления,укажите окислитель и восстановитель, когда реагируют: медь с бромом;натрий с фтором;железо с фтором;магний с бромом;алюминий с хлором.

Ответы

Ответ дал: zerotwo11
0
Вот держи). Я ещё определил окислитель и востоновитель.
Приложения:
Вас заинтересует