Помогите решить примеры с комплексными числами, всего 5 заданий, кто сколько сможет, хотя бы 2 любых. Отдаю все оставшийся баллы
Приложения:
Ответы
Ответ дал:
0
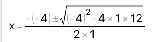
3 задания .
первое действие
второе действие
третье действие
Приложения:
Вас заинтересует
2 года назад
3 года назад
3 года назад
9 лет назад
9 лет назад
10 лет назад
10 лет назад