• Предмет: Алгебра
  • Автор: vickyvicky
  • Вопрос задан 11 лет назад

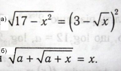
решыть два уравненния:

Приложения:

Ответы

Ответ дал: Fedor
0

1) sqrt(17-x^2)=(3-sqrt(x)^2

Возведем обе части в квадрат

17-x^2=9-6*sqrt(x)+x

x^2+x-8=6*sqrt(x)

Возведем еще раз в квадрат

(x^4+2x^3-15x^2-16x+64=36x

x^4+2x^3-15x^2-52x+64=0

(x-1)(x^3+3x^2-12x-64)=0

1) x-1=0 => x=1

2) x^3+3x^2-12x-64=0

    (x-4)(x^2+7x+16)=0

    a)  x-4=0 => x=4

    б)  x^2+7x+16=0

         D=b^2-4ac=-15<0 - нет решений

Ответ: x=1; x=4

 

2) sqrt(a+sqrt(a+x))=x

Обе части возведем в квадрат

a=sqrt(a+x)=x

sqrt(a+x)=a+x

Еще раз возведем в квадрат

  a+x=(a+x)^2

  a+x=a^2+2ax+x^2

   x^2+x*(2a-1)+(a^2-a)=0

D=b^2-4ac=(2a-1)^2-4*(a^2-a)=1

   x1,2=(-b±sqrt(D))/2a

   x1,2=((1-2a)±1)/2

   x1=a

   x2=1-a

Вас заинтересует
11 лет назад