• Предмет: Алгебра
  • Автор: Nishinoyaa
  • Вопрос задан 8 лет назад

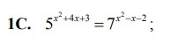
помогите, пожалуйста (ЕГЭ задание 13)

Приложения:

Ответы

Ответ дал: artem180201
0
x^2+4x+3=log5 7x^2-log-log 5 7x-2log5 7
Группируем, получаем:
(х+3)(х+1)=log5 7 (x+1)(x-2)
(x+1)(x+3-log5 7x+2log5 7)=0
x1=-1
x2=-log5/7 6125
Ответ дал: Nishinoyaa
0
а насчёт x2 вы уверены? в ответах другое.
Ответ дал: artem180201
0
Ну да, там логарифм 7 с основанием 5 от 6125
Ответ дал: artem180201
0
Умножить точнее
Ответ дал: artem180201
0
Умножить на 6125
Вас заинтересует