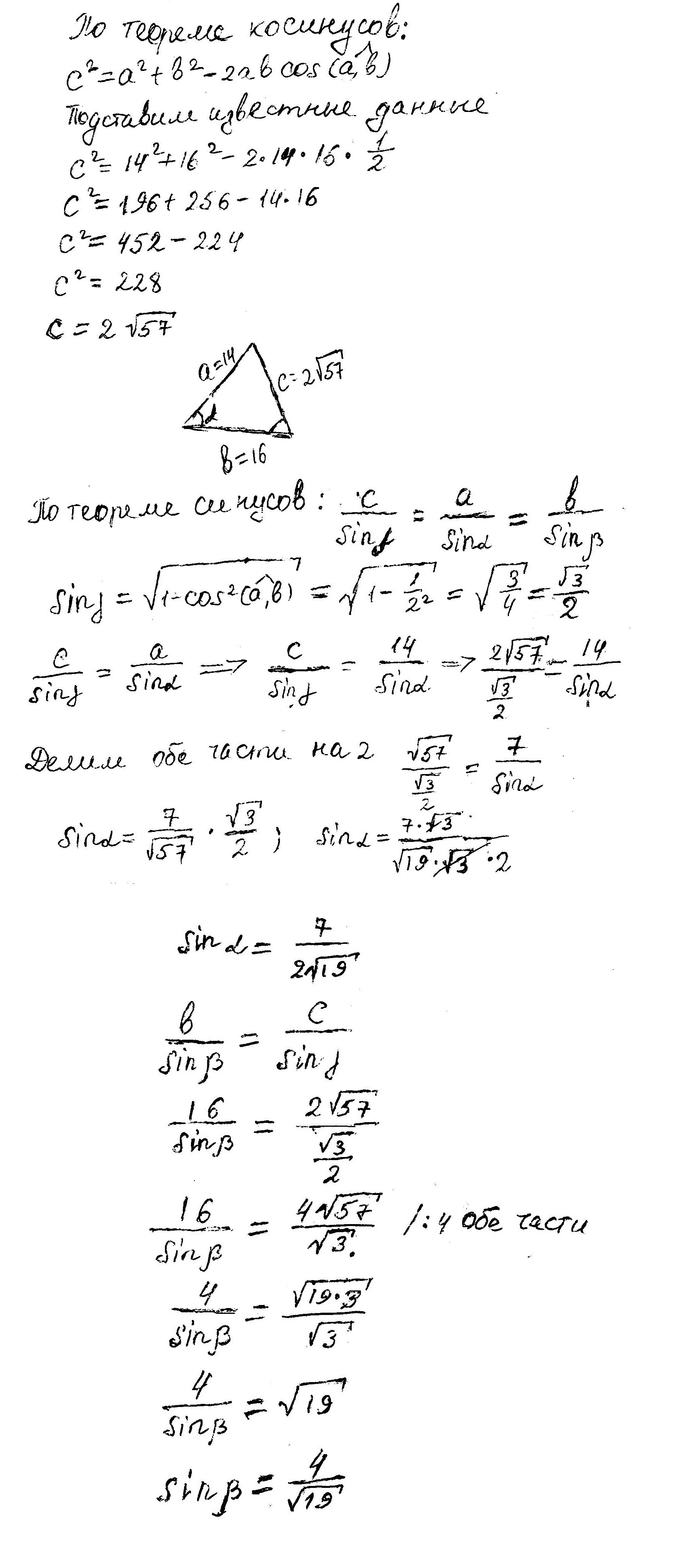
в треугольнике две стороны равны 14см и 16см а косинус между ними 1/2 найдите третью сторону и синусы двух других углов
Ответы
Ответ дал:
0
Решение в приложении
Ответ:
Приложения:

Вас заинтересует
2 года назад
2 года назад
3 года назад
3 года назад
8 лет назад
8 лет назад
9 лет назад