• Предмет: Алгебра
  • Автор: YliaChibizova
  • Вопрос задан 8 лет назад

выполни действия пожалуйсто

Приложения:

Ответы

Ответ дал: Pharaoh30
0
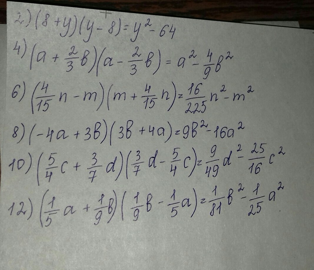
Решение смотри на фото
Приложения:
Вас заинтересует