• Предмет: Алгебра
  • Автор: otpmaker1105
  • Вопрос задан 8 лет назад

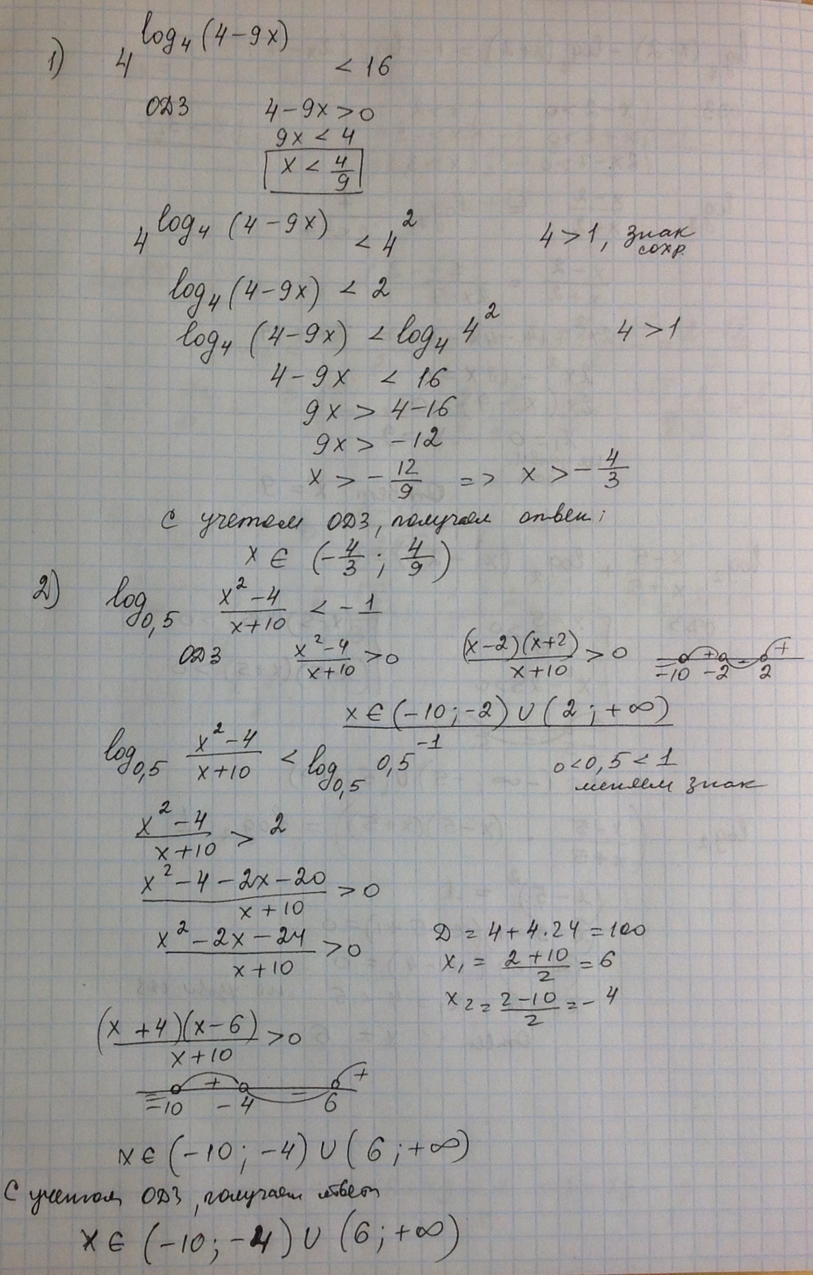
Помогите, пожалуйста, решить логарифмические неравенства, ну очень нужно

Приложения:

Ответы

Ответ дал: maksimcat
0

Ответ на фото///////////////////

Приложения:
Ответ дал: otpmaker1105
0
Благодарю!
Вас заинтересует