Ответы
Ответ дал:
0
1 полка- 3х - 8
2 полка- х + 32
3х-8=х+32
3х-х=32+8
2х=40
х=20 - кн спочатку було на 2 полці
1) 20 • 3 =60 кн спочатку на 1 полці
2 полка- х + 32
3х-8=х+32
3х-х=32+8
2х=40
х=20 - кн спочатку було на 2 полці
1) 20 • 3 =60 кн спочатку на 1 полці
Ответ дал:
0
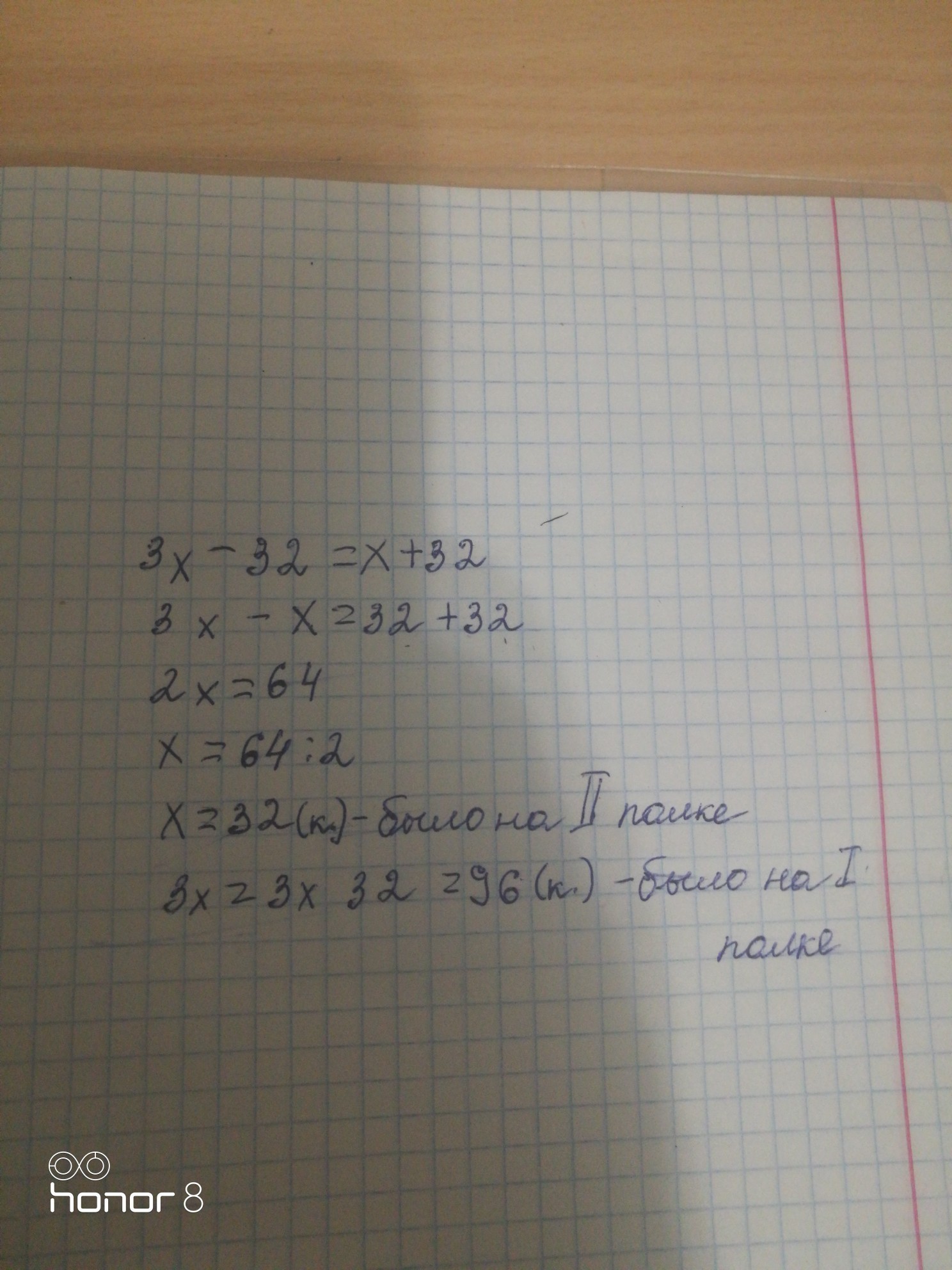
3x-32=x+32
3x-x=32+32
2x=64
X=64:2
X=32(к.)_было на 2-ой полке
3x=3x*32=96(к.)-было на 1-ой полке
3x-x=32+32
2x=64
X=64:2
X=32(к.)_было на 2-ой полке
3x=3x*32=96(к.)-было на 1-ой полке
Приложения:

Вас заинтересует
2 года назад
2 года назад
3 года назад
3 года назад
8 лет назад
8 лет назад
9 лет назад
9 лет назад