• Предмет: Алгебра
  • Автор: vika9356636
  • Вопрос задан 8 лет назад

решите~~~~~~~~~~~~~~~~~~~

Приложения:

Ответы

Ответ дал: Lod2000
0

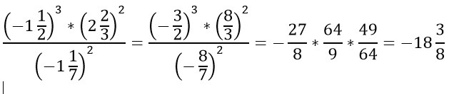
см. вложение.........

Приложения:
Вас заинтересует