• Предмет: Алгебра
  • Автор: BizzleDOGG
  • Вопрос задан 8 лет назад

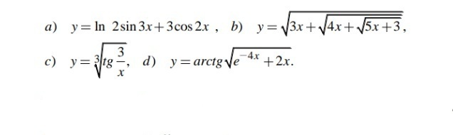
Помогите вычислить производные функций

Приложения:

Ответы

Ответ дал: NNNLLL54
0

1); ; y=ln(2sin3x+3cos2x)\\y'=frac{1}{2sin3x+3cos2x}cdot (6cos3x-6sin2x)\\2); ; y=sqrt{3x+sqrt{4x+sqrt{5x+3}}}\\y'=frac{1}{2sqrt{3x+sqrt{4x+sqrt{5x+3}}}}cdot Big (3x+sqrt{4x+sqrt{5x+3}}Big )'=\\=frac{1}{2sqrt{3x+sqrt{4x+sqrt{5x+3}}}}cdot Big (3+frac{1}{2sqrt{4x+sqrt{5x+3}}}cdot Big (4x+sqrt{5x+3}Big )', Big )=\\=frac{1}{2sqrt{3x+sqrt{4x+sqrt{5x+3}}}}cdot Big (3+frac{1}{2sqrt{4x+sqrt{5x+3}}}cdot (4+frac{1}{2sqrt{5x+3}}cdot 5)Big )

3); ; y=sqrt[3]{tgfrac{3}{x}}\\y'=frac{1}{3}Big (tgfrac{3}{x}Big )^{-frac{2}{3}}cdot frac{1}{cos^2frac{3}{x}}cdot frac{-3}{x^2}\\4); ; y=arctgsqrt{e^{-4x}+2x}\\y'=frac{1}{1+e^{-4x}+2x}cdot frac{1}{2sqrt{e^{-4x}+2x}}cdot (-4e^{-4x}+2)

Вас заинтересует