• Предмет: Математика
  • Автор: injumarjan0303
  • Вопрос задан 8 лет назад

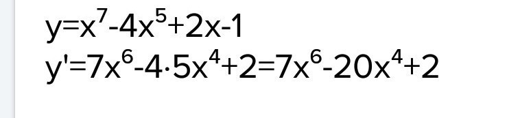
y=x7-4x5+2x-1 решитеее плиииз

Ответы

Ответ дал: ivan7943
0
.............................
Приложения:
Ответ дал: turdanh
0

У=х7-4х5+2х-1

7х-4х+2х-у=-5-1

4х=-6

х=-1,5

Приложения:
Вас заинтересует