• Предмет: Алгебра
  • Автор: iulianiyagrechka
  • Вопрос задан 8 лет назад

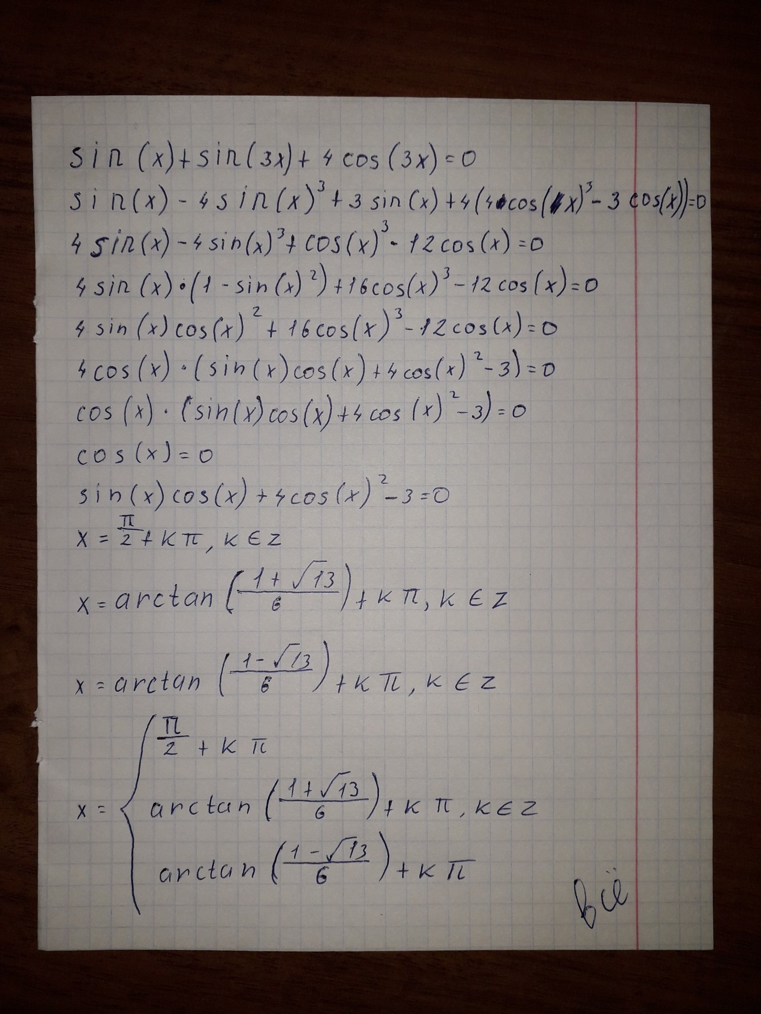
Даю 50 б.Решите, пожалуйста, уравнение:

sinx+sin3x+4cos3x=0

Ответы

Ответ дал: Oturan
0
думаю так наверное все понятно
Приложения:
Ответ дал: iulianiyagrechka
0
А можно по-подробнее
Ответ дал: Oturan
0
да
Ответ дал: Oturan
0
как отправить
Ответ дал: Oturan
0
вот
Вас заинтересует