Ответы
Ответ дал:
0
Ответ:
Пошаговое объяснение:
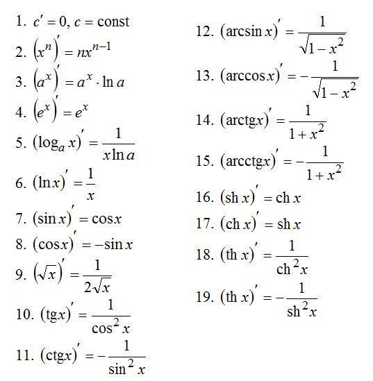
1) y(x) = ctgX - 2
y'(x) = - 1/sin²X . sin(-π/6) = -0.5
y'(-π/6) = - 4 - производная - ответ.
2) y(x) = cosX/X
y'(x) = - sinX/X - cosX/X²
y'(π) = 1/π² - производная - ответ.
Приложения:

Вас заинтересует
2 года назад
2 года назад
3 года назад
3 года назад
8 лет назад
9 лет назад