• Предмет: Химия
  • Автор: Wkololo342
  • Вопрос задан 8 лет назад

Решите пожалуйста h2so4+cu=cuso4+so2+h2o
С условиями

Приложения:

Ответы

Ответ дал: Cininka
0

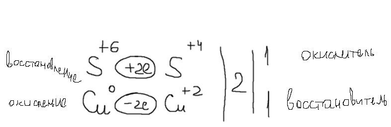
Уравнение реакции: H_{2}SO_{4} + Cu >>> CuSO_{4} + SO_{2} + H_{2}O

Пояснение к уравнению (писать не нужно): [серная кислота + медь >>> сульфат меди + оксид серы 4 + вода]


Потом пишешь, что я приложил в файле.


Итоговое уравнение: 2H_{2}SO_{4} + Cu >>> CuSO_{4} + SO_{2} + 2H_{2}O


Приложения:
Вас заинтересует