Ответы
Ответ дал:
0
Ответ:
Пошаговое объяснение:
Приводим к общему знаменателю 6
10-у+2(3у+8)=3(у+6)
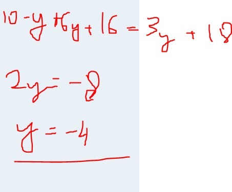
10-у+6у+16=3у+18
-у+6у-3у=18-16-10
2у=-8
У=-8:2
У=-4
Ответ дал:
0
Ответ:
Пошаговое объяснение:
Сначала привёл все части к общему знаменателю. (6)
таким образом, "вторую дробь" домножил на 2, на "третью дробь", которая после "=" домножил на 3
Получилось уравнение без знаменателя. Отдельно перенёс все "y" налево, числа - направо, после равенства.
сделал действия. Сложение - вычитание.
Так и получился y=-4.
Приложения:

Вас заинтересует
2 года назад
2 года назад
3 года назад
3 года назад
8 лет назад
8 лет назад
9 лет назад