Пажалуста ребята памогите решить срочно надо .этот пример по темме Ленейное уравнения с одной перемменой
Приложения:

Ответы
Ответ дал:
0
Ответ:
Пошаговое объяснение:
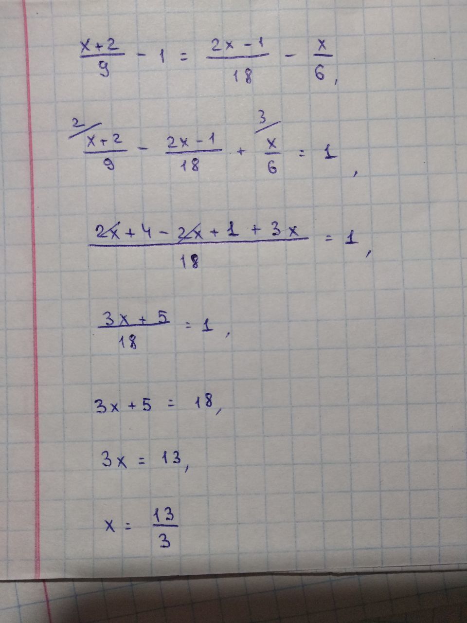
Приложения:

Ответ дал:
0
Ответ:
Пошаговое объяснение:
2*(x+2) - 18*1 = 2x + 1 - 3*x
2x + 4 - 18 = 2x + 1 - 3x
2x - 14 = -x + 1
2x + x = 1 + 14
3x = 15
x = 15 : 3
x = 5
Приложения:

Вас заинтересует
2 года назад
3 года назад
9 лет назад
9 лет назад