• Предмет: Математика
  • Автор: kulenov
  • Вопрос задан 8 лет назад

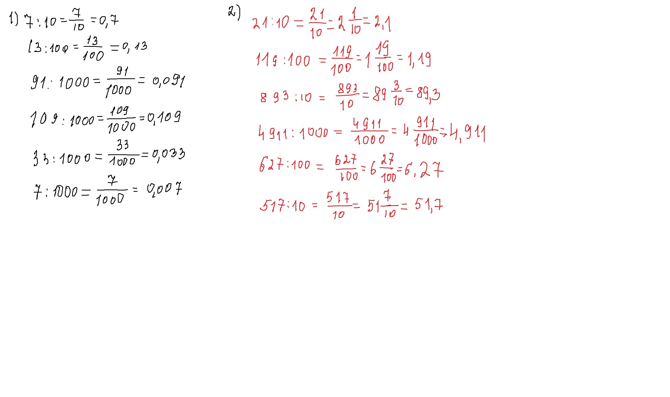
зпишите в виде десятичных дробей частные #718

Приложения:

Ответы

Ответ дал: parus77
0

Ответ:

решение смотри внизу



Приложения:
Вас заинтересует