Ответы
Ответ дал:
0
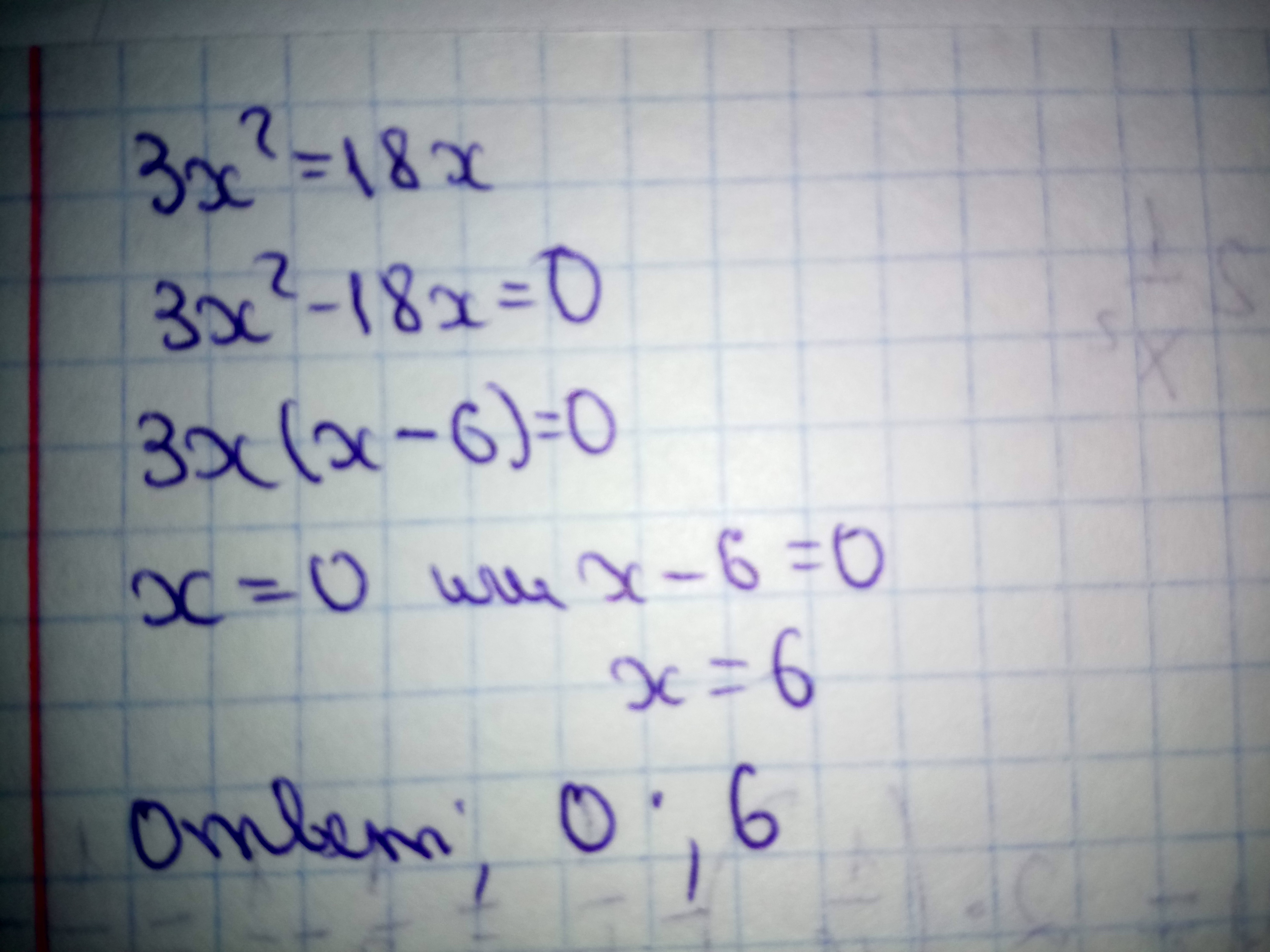
3x² = 18x
3x²-18x = 0
3x·(x-6) = 0
{3x = 0
{x-6 = 0
{x1 = 0
{x2 = 6
Ответ дал:
0
Решение задания приложено
Приложения:

Вас заинтересует
2 года назад
2 года назад
3 года назад
9 лет назад
9 лет назад
9 лет назад