• Предмет: Математика
  • Автор: Thecityzen
  • Вопрос задан 8 лет назад

Помогите пожалуйста !!!!!

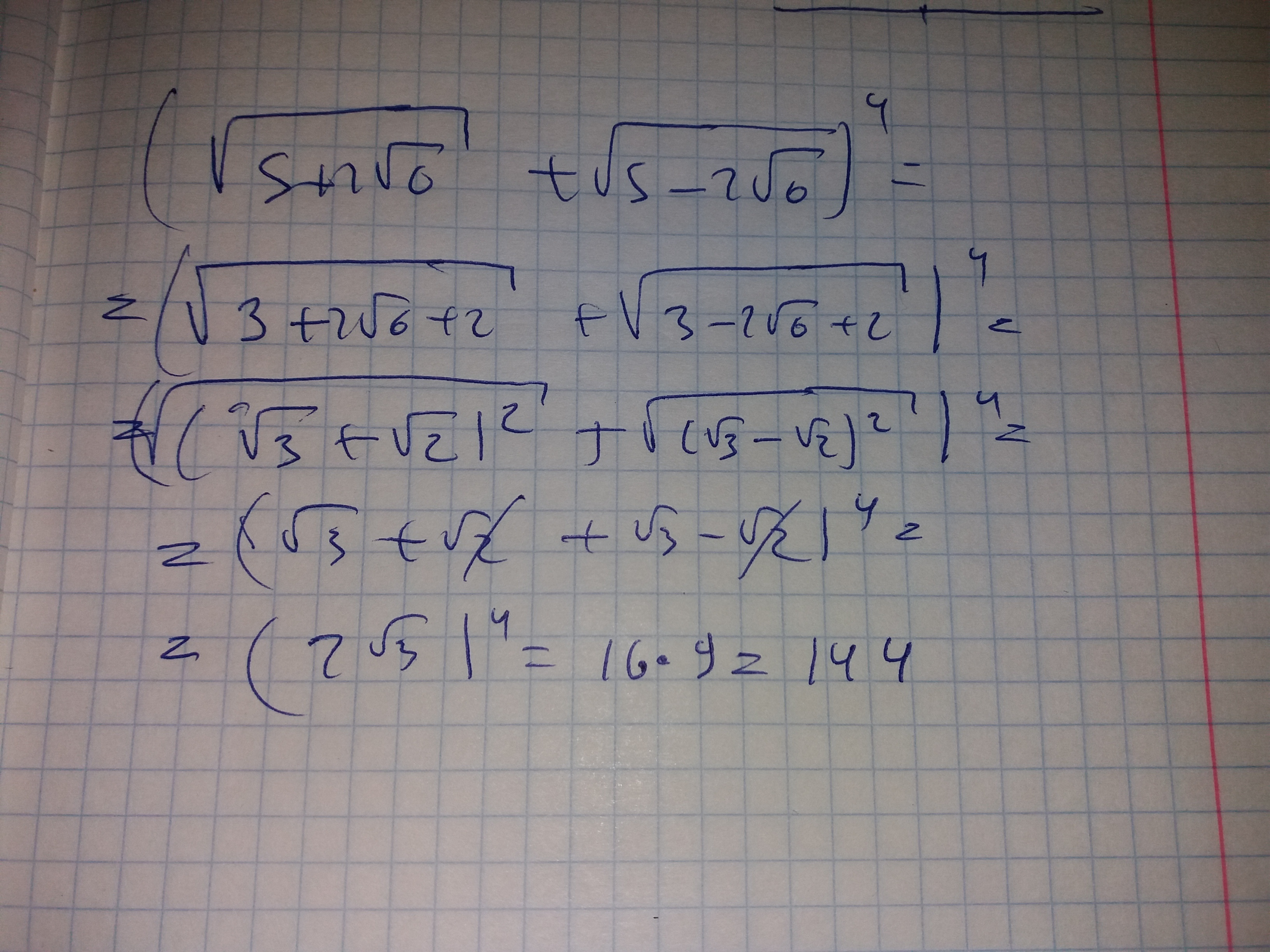
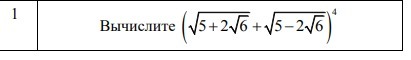
Приложения:

Ответы

Ответ дал: Bena2019
0

Ответ:


Пошаговое объяснение:


Приложения:
Вас заинтересует