Ответы
Ответ дал:
0
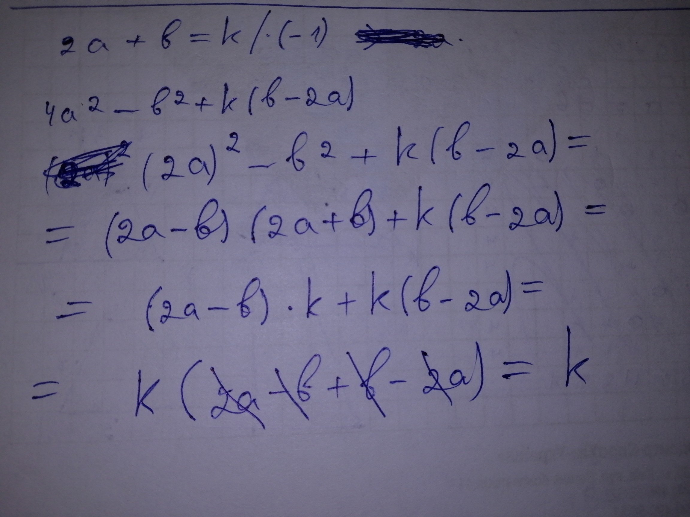
Если что-то не понятно, спрашивайте....
Приложения:

Вас заинтересует
2 года назад
2 года назад
3 года назад
3 года назад
9 лет назад
9 лет назад
9 лет назад
9 лет назад