• Предмет: Алгебра
  • Автор: dkkdkfkf23
  • Вопрос задан 8 лет назад

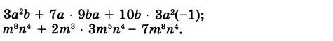
Упростите одночлены ( на фото )

Приложения:

Ответы

Ответ дал: avakyanchanel
0
Решение на фото........
Приложения:
Вас заинтересует