• Предмет: Алгебра
  • Автор: well67
  • Вопрос задан 8 лет назад

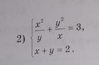
помогите пожалуста (

Приложения:

Ответы

Ответ дал: yrys82
0
вот ответ ............
Приложения:
Вас заинтересует