• Предмет: Геометрия
  • Автор: EgasPlyt
  • Вопрос задан 8 лет назад

Помогите пожалуйста!!
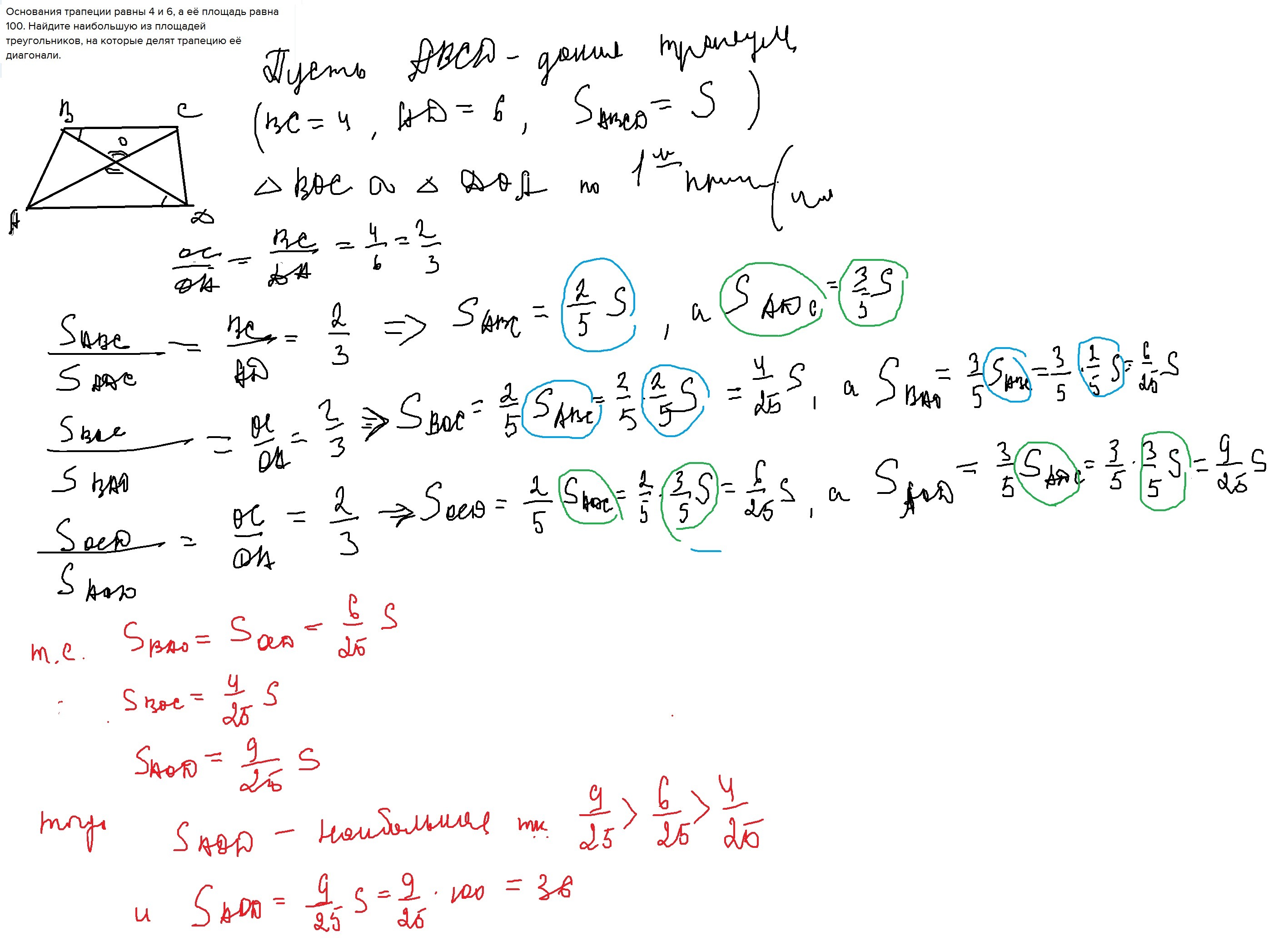
Основания трапеции равны 4 и 6, а её площадь равна 100. Найдите наибольшую из площадей треугольников, на которые делят трапецию её диагонали.

Ответы

Ответ дал: vikll
0

Помогите пожалуйста!!


Основания трапеции равны 4 и 6, а её площадь равна 100. Найдите

Приложения:
Вас заинтересует