ПОМОГИТЕ ПО АЛГЕБРЕ ПОЖАЛУЙСТА! ДАЮ 34 БАЛЛА!!!! РЕШИТЕ 2-ое пожалуйста!Другие решены!
Приложения:
Ответы
Ответ дал:
0
Ответ на фото////////////////
Приложения:
Ответ дал:
0
Спасибо!ВЫРУЧИЛИ!
Ответ дал:
0
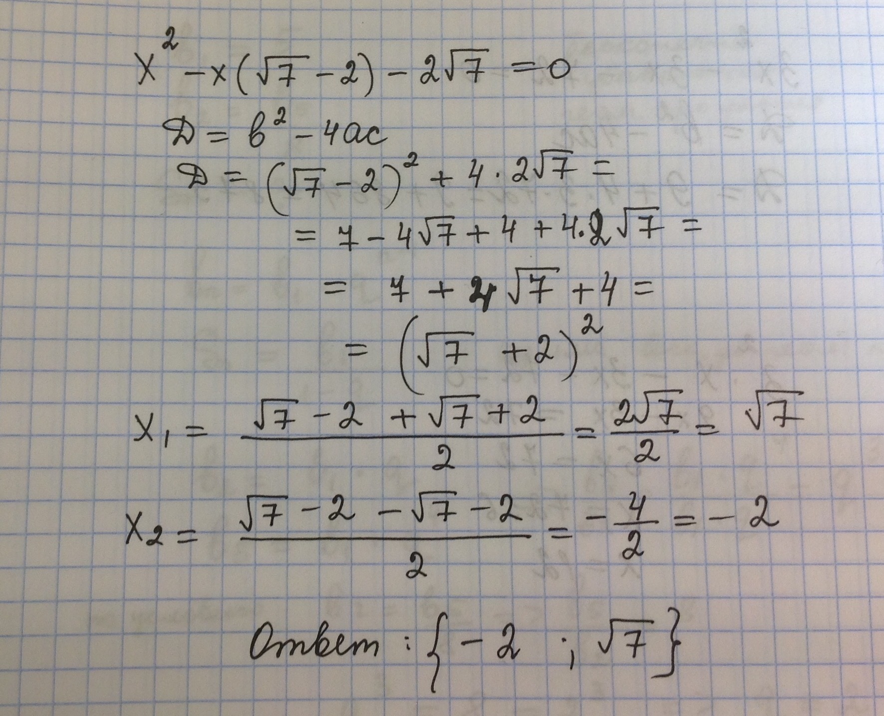
x²-x(√7-2)-2√7=0
D=(√7-2)²
+8√7=7-4√7+4+8√7=7+4√7+2²
=(√7)²+2*2√7+2²=(√7+2)²
x=(√7-2±(√7+2))/2
x1=(√7-2+√7+2)/2=√7
x2=(√7-2-√7-2)/2=-2
D=(√7-2)²
+8√7=7-4√7+4+8√7=7+4√7+2²
=(√7)²+2*2√7+2²=(√7+2)²
x=(√7-2±(√7+2))/2
x1=(√7-2+√7+2)/2=√7
x2=(√7-2-√7-2)/2=-2
Приложения:
Ответ дал:
0
Спасибо!ВЫРУЧИЛИ!
Вас заинтересует
2 года назад
2 года назад
3 года назад
3 года назад
10 лет назад
10 лет назад